Den senaste veckan har jag sett säkert fem olika inlägg som på något vis berör måltidsfrekvens, alltså hur ofta du äter varje dag. Fyra av dessa inlägg har varit fel eller otroligt missvisande. Under alla inlägg har det sen varit gott om människor som haft ännu mer fel. Det här är så klart inte helt ovanligt när det gäller träning, kost och hälsa på sociala medier men det som slog mig var hur otroligt säkra gemene man verkade vara i frågan.
Månadens produkter
Utforska månadens produkter hos Tynge – hitta dina favoriter till kampanjpris just nu.
MÅNADENS PRODUKTERDen åsikten som var överlägset vanligast var människor som påstod att det givetvis är betydligt sämre att äta flera mindre och regelbundna måltider. Istället ska man bara äta två eller tre gånger om dagen påstod vanligen samma personer.
Först tänkte jag göra en kort video för att svara på ett av de klippen jag sett som hade fått mest spridning men sen tänkte jag att det är lika bra att skriva något mer utförligt om allting först som jag sen kan hänvisa till när det kommer frågor och kritiska kommenterar efteråt.
Du kan titta på frågan på två olika sätt och kanske få olika svar
Som vanligt när det gäller kost och råd så finns det flera olika sätt att titta på frågan och om du inte tänker till och funderar kring vilken fråga du verkligen vill ha svar på så kan du lätt lura dig själv, eller bli lurad av andra.
När det gäller måltidsfrekvens så finns det två olika sätt att titta på om det är bättre för kroppen att äta mer sällan eller mer ofta. Och båda frågorna är enligt mig intressanta. Dessa frågor är.
- Hur påverkas kroppen och hunger/mättnad om jag äter samma saker uppdelat på 3 eller 6 måltider per dag?
- Hur påverkas människors kost om jag ber dem äta 3 eller 6 måltider per dag?
De här kan verka vara nästan samma fråga men i praktiken skulle jag gissa på att svaren kan bli väldigt olika.
Proteinpulver från Tyngre
Stort utbud av proteinpulver från Tyngre – inklusive vassle, kasein och andra högkvalitativa varianter för träning och återhämtning.
Köp proteinpulverVilka effekter får rådet att äta fler eller färre måltider?
Tänk först vad du skulle kunna tänka dig att äta om jag hade bett dig äta vid sex olika tillfällen på en dag. Sen tänker du på vad du hade valt att äta om jag i stället bett dig äta tre måltider per dag. Blev det samma mat och i samma mänger i dina hypotetiska exempel? Jag skulle gissa på nej.
Om du ber någon att äta bara tre måltider under en dag så blir det sannolikt tre större huvudmål. För de flesta en frukost, en lunch och en middag. Om du istället ber någon äta sex måltider på dag så blir det troligen ungefär samma typ av frukost, lunch och middag fast mindre portioner. Och sen hade du fått tre andra mindre mål där du kanske hade fått hör saker likt en yoghurt, lite nötter, ett knäckebröd, en fruktsallad eller…ett snickers, en pizzaslice, en macka med ett tjockt lager smör och skinka. Det blir olika helt enkelt.
Att veta vad människor väljer att äta och hur kosten till sist kommer att se ut i sin helhet är en intressant fråga. Och den får du svar på genom att helt enkelt testa rådet. Du delar slumpmässigt in folk i två olika grupper och sen ger du den ena gruppen rådet att äta tre måltider om dagen och den andra gruppen får rådet att äta sex måltider om dagen. Sen ser du vad som händer.
Utmaningen med att studera frågan på det här viset är att du lär få olika resultatet beroende på vilka studerar. Att säga till någon med en organiserat och strukturerat liv att äta sex mål om dagen skulle jag tro får andra effekter än att säga till någon som knappt planerar en enda måltid att äta sex mål om dagen. Under olika delar av livet så lär också det här rådet fungerar olika bra för samma person.
Vilken effekt har det på kroppen rent fysiologiskt att äta fler eller färre måltider?
Den andra frågan du kan ställa dig kring måltidsfrekvens är vilken effekt det har på kroppen om allting annat förblir det samma. Om vi antar att en person kommer att välja precis samma livsmedel oavsett mängden måltider. Vad händer då med saker likt hunger, vikt, blodsockerkontroll, blodfetter, inflammationsvärden osv.
Det här är en fråga som bli mer artificiell på ett vis. För i de flesta situationer lär som sagt inte människor fortsätta äta precis samma saker om de ska äta sex istället för tre mål om dagen. Samtidig tär det en fråga som är mer intressant om du verkligen vill veta hur kroppen fungerar. Det är också en mer intressant fråga om du av någon anledning är intresserad av vad som är ”optimalt” om det utförs på ett bra sätt.
En hel del studier kan vara en liten mix av de två frågorna
Att verkligen svara på vilken effekt som måltidsfrekvens har på våra kroppar kräver i princip att vi låser in folk och övervakar allting de gör över i alla fall några veckor. Sådana studier är både enormt dyra och komplicerade. Så de görs inte särskilt ofta. Istället hamnar man ofta i en form av kompromiss där man i studierna delar ut all mat till deltagarna och sen hoppas man att alla deltagarna är så duktiga studiedeltagare så att de bara äter maten som de har fått och ingenting annat. Resultatet blir sällan perfekt följsamhet här men med bra incitament och god mat så kan du komma nära.
Studier som har jämfört olika måltidsfrekvenser
Låt oss nu titta på studier där man har jämfört effekten av olika måltidsfrekvenser. Jag skrev en artikel om det här redan 2020 där jag summerade en översiktsartikel som undersökt hur måltidsfrekvens påverkar kroppsvikt och kroppssammansättning. Resultatet i den översikten var i princip att det saknas evidens för att något är bättre än det andra, ” In conclusion, our findings indicate that there is little robust evidence that reducing meal frequency is beneficial” (1). Efter det här har det publicerats två ytterligare översiktsartiklar på ämnet, en 2021 och en 2023. Slutsatserna har var snarlika i de här två även om den ena fann mindre fördelar med hög måltidsfrekvens (3, 4).
Det här är översiktsartikel på studier där man mest tittat på hur rådet fungerar. Det finns också ett par studier som mer försökt titta på hur det påverkar mer fysiologiskt om maten är det samma som jag tänker att vi ska titta på.
Två eller sex måltider med mer eller mindre protein för unga frisk män
Den första studien jag tänkte skriva om är en extremt välkontrollerad studie (2). Den varade dock endast över åtta och en halv timme. Det här är en studie som tittat på hur blodsocker och insulin påverkas beroende på hur många måltider du delar upp maten i. Tio friska unga män fick vid olika tillfällen antingen äta två måltider eller sex måltider samtidigt som man mätta deras blodsocker kontinuerligt och en gång i timmen tog man även blodprover för att mäta triglycerider och insulin. Upplägget är summerat i bilden här under.
Totalt utförde man fyra olika testdagar där man vid två av testdagarna använde mat med en högre proteinmängd, 38E%, och vid två andra dagar använde man mat som gav 10 E% protein.
Resultatet visade att både insulin och blodsocker var lägre när deltagarna år maten med mer protein. Det här är inte direkt överraskande i sig. När det gäller effekten av två större måltider eller sex små så var resultaten lite mer blandade. Insulinnivåerna var lägre när deltagarna åt sex måltider istället för två.De här skillnaderna var även statistiskt signifikanta.
Tittar vi istället på blodsockret så var där inga statistiskt signifikanta skillnader och vill vi titta på trender så gick de åt motsatt håll beroende på om det var lågprotein eller högprotein.
Förutom insulin och blodsocker så tittade man även på inflammationsmarkörer och triglycerider men där var det inte heller någon direkt effekt från måltidsfrekvensen.
Skiljer sig effekten beroende på personernas blodsockerkontroll från start?
En annan intressant fråga är om antalet måltider har olika effekter på människor beroende på hur bra deras kroppar hanterar kolhydrater från start. För att försöka titta på den frågan så låste några forskare i två omgångar in 9 personer med normal blodsockerkontroll och 9 personer med nedsatt blodsockerkontroll (prediabetes) i tre och en halv dag (5).
Vid ett av tillfällena så fick deltagarna äta 3 måltider på en dag och vid det andra tillfället så fick de äta 9 måltider per dag. Maten var precis den samma vid de två tillfällena. Upplägget är summerat i bilden här under.
Förutom att mäta blodsocker så tittade forskarna även på insulin och GLP-1. GLP-1 är ett mättnadshormon som har hypats mycket på senare år då det är receptorerna för det hormonet som de nya fetmamedicinerna arbetar mot. Dessa mediciner efterliknar kroppens GLP-1 men ger en betydligt högre och mer långvarig aktivering av receptorerna.
Resultatet i den här studien blev att man inte såg några större skillnader i de mått som man normalt sett bryr sig om. De skillnader som ändå fanns där var till fördel för 9 måltider. Du kan se resultaten här under där jag har markerat skillnaderna som var statistiskt signifikanta mellan testerna.
Det blir en hel del punkter som är statistisk signifikanta här till fördel för 9 måltider men det är viktigt att tänka på att det inte finns något som faktiskt säger att de här skillnaderna är betydelsefulla i praktiken. Det som vi vet verkligen spelar roll är medelblodsockret (Mean i tabellen) och där finns inga skillnader.
När man gav deltagarna ett glukostbelastningstest i början av dag fyra fann man inte heller några större skillnader. De få skillnader som var statistiskt signifikanta var dock än en gång till fördel för nio måltider om dagen. De hade då en lägre maximal blodsockertopp och de utsöndrade lite mer GLP-1 efter glukosbelastningen.
Personer med BMI över 30 får äta tre eller sex måltider per dag
En annan intressant studie som verkligen försökt titta på hur våra kroppar reagerar rent fysiologiskt tog tretton personer med BMI mellan 30-45 och lät dem äta antingen tre eller sex måltider över 12 timmar (7). Dessutom inkluderade man ett tredje tillfälle där de fick äta sex måltider med en kost som innehöll mer protein och mindre kolhydrater.
Var tionde minut så tog man blod från deltagarna via en kateter som man satt i en ven och sen mätte man deras blodsocker och insulin. I den här studien använde man sig även av flytande mat för att resultatet inte skulle påverkas av hur snabbt deltagarna tog upp maten. Det här är alltså en studie som verkligen tittar mer på mekanismer än vad som sker om du ber någon äta fler eller färre måltider varje dag.
Resultatet blev att det genomsnittliga blodsockret var det samma hos deltagarna när de åt tre eller sex måltider med samma mat. Även om där givetvis finns skillnader för stunden så jämnade det ut sig över dagen. De visade detta snyggt i en graf som jag har gjort om så den blir ännu tydligare här under. Det du kan se är att efter varje stor måltid så blir blodsockret högre än efter en mindre måltid. Sen när deltagarna bara åt en mindre måltid och ingen större så blev blodsockret högre efter den mindre måltiden.
När det gäller insulinet så var det lite lägre hos deltagarna när de åt sex måltider istället för tre med samma mat. Precis som i den tidigare studien där man haft med en kost med högre protein så såg man även här att blodsocker och insulin blev lägre med mer protein i kosten.
Fettförbränning och hunger med 3 eller 6 måltider
En annan sak man kan titta på med 3 eller 6 måltider är akut påverkan på hunger och fettförbränning, eller fettoxidation som det egentligen heter. Fettförbränning här innebär inte viktnedgång eller att man gör av med mer fettmassa. Det är ett mått på hur mycket fett man använder för att skapa energi. Om du vill veta om något ger viktnedgång eller mindre fettmassa så är det förändring i vikt eller förändrad fettbalans du ska fråga efter.
För att titta på den här frågan har forskare tagit friska unga personer och först låtit dem äta precis samma mat uppdelat på antingen tre eller sex måltider (8). Det här har pågått i tre dagar och sedan har man låst in personerna i en så kalla metabol kammare. I den kan man väldigt exakt mäta människors energibalans och hur mycket av energin som de förbrukar som skapas från fett respektive kolhydrater. Medan personerna var i den metabola kammaren under ett dygn så mätte man även deltagarnas blodsocker, insulin och fria fettsyror i blodet.
Resultatet visade på inga skillnader i energibalans, fettförbränning och genomsnittligt blodsocker. Likt i de tidigare studierna fann man dock att insulinnivåerna var lägre när deltagarna åt sex måltider istället för tre.
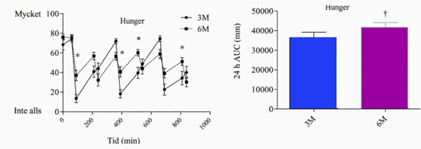
Däremot så såg man en liten skillnad i rapporterad hunger och önskad att äta till fördel för tre måltider. Deltagarna upplevde alltså att de inte blev riktigt lika mätta efter en måltid och ville äta lite mer när de fick sex mindre måltider istället för tre större. Det här är dock svårtolkade resultat då hunger mer får en effekt när de går över en viss nivå. Det är liksom inte direkt bättre om du är riktigt mätt eller bara mätt. Problemet är när man går över till att vara ”hungrig” eller ”riktigt hungrig”.
När deltagarna åt tre måltider rapporterade till exempel en större hunger inför en måltid jämfört med när de åt sex måltider. Så är det bättre eller sämre att ha en genomsnittlig lägre hunger eller att undvika toppar där hungern är större? För att veta hur det påverkar över tid så behöver vi studier där deltagarna får äta fritt istället för att man ger dem precis samma mat och samma mängd mat som man gjorde i den här studien.
Summering - Antalet måltider är uppenbart inte så viktigt
Jag tycker att det är tydligt att forskningen visar att antalet måltider inte är någon viktig grej. I översiktsartiklarna där man testar råd om olika måltidsfrekvens blir skillnaderna små vilket talar för att de inte har någon betydande inverkan på människors mättnad, hunger, kroppssammansättning eller något annat. Och de mer välkontrollerade studierna som tittat på fysiologiska effekter ser man minimala skillnader.
Det finns saker vi vet är viktiga när det gäller kosten. Den bör i sin helhet täcka in alla näringsämnen vi behöver, den ska inte innehålla för mycket salt, det lär vara bra med ett högre fiberintag mot vad de flesta äter, vi bör inte äta för mycket mättat fett och sen se till energibalans så vi inte lägger på oss för mycket fettmassa.
Utöver det så finns det data som talar för att vi mår lite bättre om vi äter vid ganska regelbundna tider (oavsett antalet måltider) och att vi inte regelbundet äter sent på kvällarna eller på natten när vi normalt sett brukar sova.
Det är det där du ska sikta mot. Sen om du tycker att du uppnår det bättre med tre, fyra, fem, sex eller något annat antal på måltider verkar helt enkelt inte spela någon större roll. Personligen tror jag att många skulle vinna på att minska på antalet mindre måltider över dagen för de flesta som äter ganska många måltider har inte förberett så många bra måltider. Istället blir den där extra måltiden mer någon typ av sämre mat, ibland ren skitmat.
Sen på andra sidan har vi idrottare vars problem mer vanligen är att de inte hinner äta tillräckligt mycket. För dem kan flera mindre måltider utanför frukost, lunch och middag vara en bra idé. Och ibland kan dessa måltider också vara energität och ganska näringsfattig mat som är lätt att äta snabbt och inte ligger kvar i magen särskilt länge.
Så antalet måltider bör helt enkelt anpassas till varje enskild person. Det finns ingen anledning att ge ett specifikt råd till ”alla” som det ofta har gjorts. När jag var ung så skulle vi alla äta 5-6 måltider. Nu på senare tid har pendeln svängt helt och det är populärt att säga att vi ska äta 2-3 måltider. Inget av det har någon stark grund inom vetenskapen.







